...
EgyptSearch Forums Post New Topic  New Poll  Post A Reply
my profile | directory login | register | search | faq | forum home

  next oldest topic   next newest topic
» EgyptSearch Forums » Egyptology » More data on ANA ancestry in various African and West Eurasian populations (Page 1)

 - UBBFriend: Email this page to someone!   This topic comprises 2 pages: 1  2   
Author Topic: More data on ANA ancestry in various African and West Eurasian populations
BrandonP
Member
Member # 3735

Icon 4 posted      Profile for BrandonP   Author's Homepage     Send New Private Message       Edit/Delete Post   Reply With Quote 
Courtesy of revoiye
 -
Some findings of interest:

* ANA (Ancient North African) ancestry appears to be most heavily concentrated in Northeast African populations, although West and Central Africans, as well as ancient Maghrebis, have some ANA as well.
* Various ancient populations in West Eurasia have small but significant ANA ancestry components as well. Minoans actually have a rather large chunk of it as far as EEF-descended populations go.
* The Abusir el Meleq mummies have less ANA than modern Egyptians (either Coptic or Muslim). The former have approximately as much ANA as Natufians. Make of that what you will.

--------------------
Brought to you by Brandon S. Pilcher

My art thread on ES

And my books thread

Posts: 7069 | From: Fallbrook, CA | Registered: Mar 2004  |  IP: Logged | Report this post to a Moderator
the lioness,
Member
Member # 17353

Rate Member
Icon 1 posted      Profile for the lioness,     Send New Private Message       Edit/Delete Post   Reply With Quote 
Ancient Egyptian mummy genomes Scheunemann 2017 Abusir el-Meleq
 -

quote:
Originally posted by BrandonP:
Courtesy of revoiye
Some findings of interest:


* The Abusir el Meleq mummies have less ANA than modern Egyptians (either Coptic or Muslim). The former have approximately as much ANA as Natufians.

which is the ANA ?

My reaction to this statement is "so what" and to the arbitrary conclusion Scheunemann et al make about ancient Egyptians
We see here, 90 mummies, mtDNA only
except for 3 with YDNA also

So we have this burial site and it's all over the place
A few New Kingdom as oldest, most late period
and a ton of different haplogroups

I say "so what" because this is just an arbitrary collection of mummies at one site
and a comparison is made to modern Egyptians and that would be people all over the whole country

If you had 3 or 4 sites in different parts of the country, including older time periods and more Y DNA then you might start to make conclusions about ancient Egyptian in general

Also look at taforalt

 -

Also looking at this we have this Taforalt Moroccan so called Iberomaurusian site
This is ANA
yet Egypt is on the eastern side part of a river system.
So it might not be that useful this ANA category if it is assuming the Maghreb and the Nile Valley to necessarily be that similar genetically
This may necessitate instead of ANA, to have two categories
Ancient Maghreb DNA
and
Ancient Nile Valley DNA

OR

Ancient West North Africa DNA
and
Ancient East North Africa DNA

^^ beyoku can you contact the Genetic big wigs about this, this should be two categories not one.
They are using Taforalt to judge Egypt with

quote:
Originally posted by BrandonP:
Genetic research on Iberomaurusian remains recovered from the Taforalt cave in Morocco has shown that around a third of their ancestry was related to that of modern West Africans

How is that the case if the Taforalt remains are E1b1b ?

 -

Posts: 42918 | From: , | Registered: Jan 2010  |  IP: Logged | Report this post to a Moderator
Tukuler
multidisciplinary Black Scholar
Member # 19944

Icon 1 posted      Profile for Tukuler   Author's Homepage     Send New Private Message       Edit/Delete Post   Reply With Quote 
imgs now prepped and posted below

--------------------
I'm just another point of view. What's yours? Unpublished work © 2004 - 2023 YYT al~Takruri
Authentic Africana over race-serving ethnocentricisms, Afro, Euro, or whatever.

Posts: 8179 | From: the Tekrur straddling Senegal & Mauritania | Registered: Dec 2011  |  IP: Logged | Report this post to a Moderator
Mansamusa
Member
Member # 22474

Rate Member
Icon 1 posted      Profile for Mansamusa     Send New Private Message       Edit/Delete Post   Reply With Quote 
I was thinking that ANA was a NW African counterpart to a separate NE African component, but is fundamentally East African I see.
Posts: 288 | From: Asia | Registered: Mar 2016  |  IP: Logged | Report this post to a Moderator
BrandonP
Member
Member # 3735

Icon 1 posted      Profile for BrandonP   Author's Homepage     Send New Private Message       Edit/Delete Post   Reply With Quote 
quote:
Originally posted by Mansamusa:
I was thinking that ANA was a NW African counterpart to a separate NE African component, but is fundamentally East African I see.

Like I and the revoiye blogger observed, it does seem to peak in NE Africans rather than Maghrebis (despite what you and I might have expected earlier).

Also, as I also pointed out in the OP, look at all the ANA ancestry that appears to be shared between "sub-Saharan" West and Central Africans on the one hand and assorted ancient West Eurasians on the other. We all know Eurocentrics and White supremacists will take these findings very well.

Though, on the other hand, it makes me wonder what a "pure" ANA population would look like. You see so much of this ancestry in both "Caucasoid-admixed" Northeast Africans like the Oromo and Somalis as well as the more stereotypically SSA-looking Nilotes, at least according to revoiye's charts.

--------------------
Brought to you by Brandon S. Pilcher

My art thread on ES

And my books thread

Posts: 7069 | From: Fallbrook, CA | Registered: Mar 2004  |  IP: Logged | Report this post to a Moderator
the lioness,
Member
Member # 17353

Rate Member
Icon 1 posted      Profile for the lioness,     Send New Private Message       Edit/Delete Post   Reply With Quote 
quote:
Originally posted by Mansamusa:
I was thinking that ANA was a NW African counterpart to a separate NE African component, but is fundamentally East African I see.

It's a combination

"Here I used Taforalt and an ancient east African (Mota) to remodel potential ANA ancestry as absorbed by modern and ancient populations."

https://revoiye.com/update-ana-related-admixture-in-select-populations/

Posts: 42918 | From: , | Registered: Jan 2010  |  IP: Logged | Report this post to a Moderator
BrandonP
Member
Member # 3735

Icon 1 posted      Profile for BrandonP   Author's Homepage     Send New Private Message       Edit/Delete Post   Reply With Quote 
quote:
Originally posted by the lioness,:
quote:
Originally posted by BrandonP:
Genetic research on Iberomaurusian remains recovered from the Taforalt cave in Morocco has shown that around a third of their ancestry was related to that of modern West Africans

How is that the case if the Taforalt remains are E1b1b ?

 -

I don't really want to dignify you with a response, but I feel obligated to clarify my current views for any third parties out there anyway.

Whenever I had posted that, it was probably before Lazaridis's abbreviation "ANA" came into common anthro-fandom parlance. All we had at that point was the original Taforalt paper claiming they could be modeled as a Natufian/SSA mix (the supposed SSA component being what I meant when I said "ancestry related to that of modern West Africans", since, who the fuck are we kidding, SSA = West/Central African for most normies). But now we hopefully have a better understanding of the Taforalt Iberomaurisians' ancestry than we did back in 2018. I wouldn't characterize them as 1/3rd West African and 2/3rd Natufian-like today.

--------------------
Brought to you by Brandon S. Pilcher

My art thread on ES

And my books thread

Posts: 7069 | From: Fallbrook, CA | Registered: Mar 2004  |  IP: Logged | Report this post to a Moderator
Mansamusa
Member
Member # 22474

Rate Member
Icon 1 posted      Profile for Mansamusa     Send New Private Message       Edit/Delete Post   Reply With Quote 
Lol. Why do you guys let Lioness, Master troll, get your goat like that? You were simply using the available terminology at the time. It's only now anybody is beginning to understand the ancient genetic landscape of Africa-Eurasia.
Posts: 288 | From: Asia | Registered: Mar 2016  |  IP: Logged | Report this post to a Moderator
the lioness,
Member
Member # 17353

Rate Member
Icon 1 posted      Profile for the lioness,     Send New Private Message       Edit/Delete Post   Reply With Quote 
 -

 -

We see here some exceptions with some E1b1a, in some modern Ethiopians, Oromo and others and notably of the 4,500 year old Mota man and some low frequencies in modern Egyptians and notably Rameses III

Posts: 42918 | From: , | Registered: Jan 2010  |  IP: Logged | Report this post to a Moderator
the lioness,
Member
Member # 17353

Rate Member
Icon 1 posted      Profile for the lioness,     Send New Private Message       Edit/Delete Post   Reply With Quote 
quote:
Originally posted by Mansamusa:
Lol. Why do you guys let Lioness, Master troll, get your goat like that? You were simply using the available terminology at the time. It's only now anybody is beginning to understand the ancient genetic landscape of Africa-Eurasia.

 -

stop trying to play me out, 2016 ish

Posts: 42918 | From: , | Registered: Jan 2010  |  IP: Logged | Report this post to a Moderator
the lioness,
Member
Member # 17353

Rate Member
Icon 1 posted      Profile for the lioness,     Send New Private Message       Edit/Delete Post   Reply With Quote 
The thing that stands out in the Maghreb is the particular clade of E1b1b, E-M81
That is very Maghreb berber, high frequencies there and two a lesser extent Tuareg.
Vey uncommon elsewhere
However I don't think they have discovered ancient remains yet bearing E-M81
Looking at the above chart, two posts back, modern Egyptian bearing so little according to studies, not M81 showing up

Posts: 42918 | From: , | Registered: Jan 2010  |  IP: Logged | Report this post to a Moderator
Mansamusa
Member
Member # 22474

Rate Member
Icon 1 posted      Profile for Mansamusa     Send New Private Message       Edit/Delete Post   Reply With Quote 
quote:
Originally posted by BrandonP:
quote:
Originally posted by Mansamusa:
I was thinking that ANA was a NW African counterpart to a separate NE African component, but is fundamentally East African I see.

Like I and the revoiye blogger observed, it does seem to peak in NE Africans rather than Maghrebis (despite what you and I might have expected earlier).

Also, as I also pointed out in the OP, look at all the ANA ancestry that appears to be shared between "sub-Saharan" West and Central Africans on the one hand and assorted ancient West Eurasians on the other. We all know Eurocentrics and White supremacists will take these findings very well.

Though, on the other hand, it makes me wonder what a "pure" ANA population would look like. You see so much of this ancestry in both "Caucasoid-admixed" Northeast Africans like the Oromo and Somalis as well as the more stereotypically SSA-looking Nilotes, at least according to revoiye's charts.

You mean the Euronuts will NOT take it well? If true, the analysis shows that Natufians really ain't all that, and are probably the source of ANA in neighboring SW Asian ancient populations and not a source of Levant Neolithic ancestry in Ancient African populations like Kenyan PN or modern Horners.

The Eurasian back migration fetish in Africa that is so prominent in the genetic blogging community needs to be toppled. At this point, it's embarrassing. The Horner and N. African tribalists fantasize about their prehistoric ancestors mating with Eurasians in Africa and setting them apart from SSAs.

Posts: 288 | From: Asia | Registered: Mar 2016  |  IP: Logged | Report this post to a Moderator
Elmaestro
Moderator
Member # 22566

Member Rated:
5
Icon 1 posted      Profile for Elmaestro     Send New Private Message       Edit/Delete Post   Reply With Quote 
quote:
Originally posted by the lioness,:
The thing that stands out in the Maghreb is the particular clade of E1b1b, E-M81
That is very Maghreb berber, high frequencies there and two a lesser extent Tuareg.
Vey uncommon elsewhere
However I don't think they have discovered ancient remains yet bearing E-M81
Looking at the above chart, two posts back, modern Egyptian bearing so little according to studies, not M81 showing up

What's the distribution and frequency of m81(xM183)?
Are you aware of the recent history of M183?

Posts: 1781 | From: New York | Registered: Jul 2016  |  IP: Logged | Report this post to a Moderator
BrandonP
Member
Member # 3735

Icon 1 posted      Profile for BrandonP   Author's Homepage     Send New Private Message       Edit/Delete Post   Reply With Quote 
quote:
Originally posted by Mansamusa:
You mean the Euronuts will NOT take it well? If true, the analysis shows that Natufians really ain't all that, and are probably the source of ANA in neighboring SW Asian ancient populations and not a source of Levant Neolithic ancestry in Ancient African populations like Kenyan PN or modern Horners.

The Eurasian back migration fetish in Africa that is so prominent in the genetic blogging community needs to be toppled. At this point, it's embarrassing. The Horner and N. African tribalists fantasize about their prehistoric ancestors mating with Eurasians in Africa and setting them apart from SSAs.

I was being sarcastic when I said "the Eurocentrics will take it well".

That said, I think there could be even more African ancestry in these ancient West Eurasian populations (as well as the ancient North African ones) than just ANA. If it turns out that "Basal Eurasian" really is African in origin too, then it would be another layer of northern African ancestry on top of the ANA already documented. That is, assuming ANA hasn't affected some of the estimated proportions of BE ancestry in these ancient populations.

--------------------
Brought to you by Brandon S. Pilcher

My art thread on ES

And my books thread

Posts: 7069 | From: Fallbrook, CA | Registered: Mar 2004  |  IP: Logged | Report this post to a Moderator
the lioness,
Member
Member # 17353

Rate Member
Icon 1 posted      Profile for the lioness,     Send New Private Message       Edit/Delete Post   Reply With Quote 
 -

quote:

https://revoiye.com/update-ana-related-admixture-in-select-populations/

Once again I ran the equation with the Y population being the ancient sample discovered in Laos. (Haobinhan) This sample was previously used because it showed signs of having deep ancestry either belonging to a “basal” Eurasian or Early Eurasian people, as well as capturing Early East Eurasian ancestry


wikipedia:

A recent study by Tagore et al. 2021 found that the Hoabinhians can be demonstrably linked to Austroasiatic-speaking populations of Southeast Asia, specifically of the Malay Peninsula.

The term Hňa Běnh culture (Vietnamese: Văn hóa Hňa Běnh, in French culture de Hoŕ Běnh) was first used by French archaeologists working in Northern Vietnam to describe Holocene period archaeological assemblages excavated from rock shelters. The related English adjective Hoabinhian (French hoabianien) became a common term in the English-based literature to describe stone artifact assemblages in Southeast Asia that contain flaked, cobble artifacts, dated to c. 10,000–2000 BCE.[1] The term was originally used to refer to a specific ethnic group, restricted to a limited period with a distinctive subsistence economy and technology.

_________________________

I'm not sure why he used this Laos standpoint
Is this just some kind of reference control population used to run the program that has nothing to do with the other populations listed?

Posts: 42918 | From: , | Registered: Jan 2010  |  IP: Logged | Report this post to a Moderator
Elmaestro
Moderator
Member # 22566

Member Rated:
5
Icon 1 posted      Profile for Elmaestro     Send New Private Message       Edit/Delete Post   Reply With Quote 
quote:
Originally posted by the lioness,:
 -

quote:

https://revoiye.com/update-ana-related-admixture-in-select-populations/

Once again I ran the equation with the Y population being the ancient sample discovered in Laos. (Haobinhan) This sample was previously used because it showed signs of having deep ancestry either belonging to a “basal” Eurasian or Early Eurasian people, as well as capturing Early East Eurasian ancestry


wikipedia:

A recent study by Tagore et al. 2021 found that the Hoabinhians can be demonstrably linked to Austroasiatic-speaking populations of Southeast Asia, specifically of the Malay Peninsula.

The term Hňa Běnh culture (Vietnamese: Văn hóa Hňa Běnh, in French culture de Hoŕ Běnh) was first used by French archaeologists working in Northern Vietnam to describe Holocene period archaeological assemblages excavated from rock shelters. The related English adjective Hoabinhian (French hoabianien) became a common term in the English-based literature to describe stone artifact assemblages in Southeast Asia that contain flaked, cobble artifacts, dated to c. 10,000–2000 BCE.[1] The term was originally used to refer to a specific ethnic group, restricted to a limited period with a distinctive subsistence economy and technology.

_________________________

I'm not sure why he used this Laos standpoint
Is this just some kind of reference control population used to run the program that has nothing to do with the other populations listed?

Lol

"Once again I ran the equation with the Y population being the ancient sample discovered in Laos. (Haobinhan) This sample was previously used because it showed signs of having deep ancestry either belonging to a “basal” Eurasian or Early Eurasian people, as well as capturing Early East Eurasian ancestry"

A recent study by Tagore et al. 2021 found that the Hoabinhians can be demonstrably linked to Austroasiatic-speaking populations of Southeast Asia, specifically of the Malay Peninsula

I'm not sure why he used this Laos standpoint - Lioness.

???

lmao.


I think your question was answered in the quote residing in the very same post you asked said question.

Can you respond to this question though btw.. It might be important.

Posts: 1781 | From: New York | Registered: Jul 2016  |  IP: Logged | Report this post to a Moderator
the lioness,
Member
Member # 17353

Rate Member
Icon 1 posted      Profile for the lioness,     Send New Private Message       Edit/Delete Post   Reply With Quote 
quote:
Originally posted by Elmaestro:
quote:
Originally posted by the lioness,:
The thing that stands out in the Maghreb is the particular clade of E1b1b, E-M81
That is very Maghreb berber, high frequencies there and two a lesser extent Tuareg.
Vey uncommon elsewhere
However I don't think they have discovered ancient remains yet bearing E-M81
Looking at the above chart, two posts back, modern Egyptian bearing so little according to studies, not M81 showing up

What's the distribution and frequency of m81(xM183)?
Are you aware of the recent history of M183?

https://www.nature.com/articles/s41598-017-16271-y?fbclid=IwAR23g0zmbdtMZ1hpL8YA_W1vnccjR3KBM600akdwBhXixQ8YfWvD-6y_yGY

Whole Y-chromosome sequences reveal an extremely recent origin of the most common North African paternal lineage E-M183 (M81)

Neus Solé-Morata, Carla García-Fernández, Vadim Urasin, Asmahan Bekada, Karima Fadhlaoui-Zid, Pierre Zalloua, David Comas & Francesc Calafell
Scientific Reports volume 7, Article number: 15941 (2017)

E-M81 has been found at high frequencies (71%) in Northwestern Africa and its frequency decreases towards the East; it is found sporadically in S Europe and E Africa, and it is practically absent elsewhere.
And indeed, when we tested by AMOVA based on Y-STRs whether the coastal populations are different to more inland areas, we observe that 16.5% (P < 10−5) of the variance can be explained by differences among these two groups. Finally, surprisingly, Iberian samples showed the highest proportion of E-M183*, with a frequency over E-M183 chromosomes of 20%, whereas in North Africa the frequencies of M183* range from 0 to 7%. However, note that if these frequencies were given over all individuals [and not only over those carrying E-M183] then E-M183* would represent just 0.5% of all Iberian Y chromosomes, but it reaches 7.7% in Libyans.

Regardless of using a Bayesian or a Rho-based approach, our findings when using SNP data suggest that E-M183 originated around 2,000 years ago (ya)
______________________________

quote:
Originally posted by Elmaestro:
What's the distribution and frequency of m81(xM183)?
Are you aware of the recent history of M183??

183 is a subclade of M81
so I don't see reason to exclude it
and it's complicated to try to extract it, I'm not sure I could do it

https://en.wikipedia.org/wiki/Haplogroup_E-Z827#E-M81

wiki:

The E-M183 subhaplogroup reaches a mean frequency of 42% in North Africa. It decreases in frequency from 100% in some isolated Berber populations to approximately 28.6% to the east of this range in Egypt.[13][14][15] Because of its prevalence among these groups and also others such as Mozabite, Middle Atlas, Kabyle and other Berber groups, and coincidence with language dispersal age, it is sometimes referred to as a genetic "Berber marker". High levels among two Tuareg populations inhabiting the Sahara: 77.8% near Gorom-Gorom, in Burkina Faso, and 81.8% from Gossi in Mali are observed.[16] There was a much lower frequency of 11.1% in the vicinity of Tanut in the Republic of Niger.

The E-M81 subclade is also quite common among North African Arabic-speaking groups. It 31.5% among Moroccan Arabs,[17] and is generally found at frequencies around 45% in coastal cities of the Maghreb (Oran, Tunis, Tizi Ouzou, Algiers).[13][18]

In this key area from Egypt to the Atlantic Ocean, report a pattern of decreasing STR haplotype variation (implying decreasing lineage age in those areas) from East to West (but[19] reports West to East for M183), accompanied by a substantial increasing frequency. At the eastern extreme of this core range,[15] M81 is found in 28.6% (10 out of 35 men) in El-Hayez in the Western desert in Egypt

____________________________

So it has a general decline as it goes east, an exception a small village El-Hayez in the Bahariya Oasis, once an important caravan hub

Posts: 42918 | From: , | Registered: Jan 2010  |  IP: Logged | Report this post to a Moderator
the lioness,
Member
Member # 17353

Rate Member
Icon 1 posted      Profile for the lioness,     Send New Private Message       Edit/Delete Post   Reply With Quote 
^^ and this has anything to do with Laos ?

thread topic

quote:


https://revoiye.com/update-ana-related-admixture-in-select-populations/


UPDATE: ANA-(Related) Admixture In Select Populations

Leave a Comment / Backroom, Inquiry & Investigation, Resource / By Stro
This is an update revisiting my attempt at quantifying the Ancestral North African or Ancestral north African related (ANA) admixture in Africans and neighboring populations. ANA in this context would represent a population related to both East Africans and early non-African populations, which is the loose description of the direct ancestors of North Africans; hence the title “ANA”.


maybe I'm just ignorant as to how these programs work. Somebody will have to explain to me why North Africans are compared to Austroasiatic-speaking populations of Southeast Asia of the Malay Peninsula


"Y population being the ancient sample discovered in Laos. (Haobinhan) This sample was previously used because it showed signs of having deep ancestry either belonging to a “basal” Eurasian or Early Eurasian people, as well as capturing Early East Eurasian ancestry"

So a population in Laos belonging to a “basal” Eurasian or Early Eurasian people??

It's the first I've heard of it. Sounds bizarre
What article is this based on?

Posts: 42918 | From: , | Registered: Jan 2010  |  IP: Logged | Report this post to a Moderator
Elmaestro
Moderator
Member # 22566

Member Rated:
5
Icon 1 posted      Profile for Elmaestro     Send New Private Message       Edit/Delete Post   Reply With Quote 
quote:
Originally posted by the lioness,:
quote:
Originally posted by Elmaestro:
quote:
Originally posted by the lioness,:
The thing that stands out in the Maghreb is the particular clade of E1b1b, E-M81
That is very Maghreb berber, high frequencies there and two a lesser extent Tuareg.
Vey uncommon elsewhere
However I don't think they have discovered ancient remains yet bearing E-M81
Looking at the above chart, two posts back, modern Egyptian bearing so little according to studies, not M81 showing up

What's the distribution and frequency of m81(xM183)?
Are you aware of the recent history of M183?

https://www.nature.com/articles/s41598-017-16271-y?fbclid=IwAR23g0zmbdtMZ1hpL8YA_W1vnccjR3KBM600akdwBhXixQ8YfWvD-6y_yGY

Whole Y-chromosome sequences reveal an extremely recent origin of the most common North African paternal lineage E-M183 (M81)

Neus Solé-Morata, Carla García-Fernández, Vadim Urasin, Asmahan Bekada, Karima Fadhlaoui-Zid, Pierre Zalloua, David Comas & Francesc Calafell
Scientific Reports volume 7, Article number: 15941 (2017)

E-M81 has been found at high frequencies (71%) in Northwestern Africa and its frequency decreases towards the East; it is found sporadically in S Europe and E Africa, and it is practically absent elsewhere.
And indeed, when we tested by AMOVA based on Y-STRs whether the coastal populations are different to more inland areas, we observe that 16.5% (P < 10−5) of the variance can be explained by differences among these two groups. Finally, surprisingly, Iberian samples showed the highest proportion of E-M183*, with a frequency over E-M183 chromosomes of 20%, whereas in North Africa the frequencies of M183* range from 0 to 7%. However, note that if these frequencies were given over all individuals [and not only over those carrying E-M183] then E-M183* would represent just 0.5% of all Iberian Y chromosomes, but it reaches 7.7% in Libyans.

Regardless of using a Bayesian or a Rho-based approach, our findings when using SNP data suggest that E-M183 originated around 2,000 years ago (ya)
______________________________

quote:
Originally posted by Elmaestro:
What's the distribution and frequency of m81(xM183)?
Are you aware of the recent history of M183??

183 is a subclade of M81
so I don't see reason to exclude it
and it's complicated to try to extract it, I'm not sure I could do it

https://en.wikipedia.org/wiki/Haplogroup_E-Z827#E-M81

wiki:

The E-M183 subhaplogroup reaches a mean frequency of 42% in North Africa. It decreases in frequency from 100% in some isolated Berber populations to approximately 28.6% to the east of this range in Egypt.[13][14][15] Because of its prevalence among these groups and also others such as Mozabite, Middle Atlas, Kabyle and other Berber groups, and coincidence with language dispersal age, it is sometimes referred to as a genetic "Berber marker". High levels among two Tuareg populations inhabiting the Sahara: 77.8% near Gorom-Gorom, in Burkina Faso, and 81.8% from Gossi in Mali are observed.[16] There was a much lower frequency of 11.1% in the vicinity of Tanut in the Republic of Niger.

The E-M81 subclade is also quite common among North African Arabic-speaking groups. It 31.5% among Moroccan Arabs,[17] and is generally found at frequencies around 45% in coastal cities of the Maghreb (Oran, Tunis, Tizi Ouzou, Algiers).[13][18]

In this key area from Egypt to the Atlantic Ocean, report a pattern of decreasing STR haplotype variation (implying decreasing lineage age in those areas) from East to West (but[19] reports West to East for M183), accompanied by a substantial increasing frequency. At the eastern extreme of this core range,[15] M81 is found in 28.6% (10 out of 35 men) in El-Hayez in the Western desert in Egypt

____________________________

So it has a general decline as it goes east, an exception a small village El-Hayez in the Bahariya Oasis, once an important caravan hub

....jeez

Why does everything have to be broken down to the most basic levels for someone who's been in this sphere for probably decades?

Dude you literally made a point in attaching M81 to Ancient North African ancestry.

If Ifri_N_Amr Early neolithic samples where V257 and the next set of North Africans to carry the related paternal haplogroups clearly postdated M183's expansion (guanches) Why would you NOT look for M81(xM183).

It might just be best for me to take Mansamusa's advice on this one. smh

Posts: 1781 | From: New York | Registered: Jul 2016  |  IP: Logged | Report this post to a Moderator
Tukuler
multidisciplinary Black Scholar
Member # 19944

Icon 1 posted      Profile for Tukuler   Author's Homepage     Send New Private Message       Edit/Delete Post   Reply With Quote 
< Sorry for the 8 hour late imgs, but offline life et al ya know [Wink] >

=-=-=-=-=

Speaking full genome, looks like this ANA (something
I'm totally unfamiliar with -- I don't drink Lazarade) may
be traceable to sources in a bio-geography stretched from
Sudan north & westward to coastal North Africa and on
north to the Levant. It's exemplified by living Bataheen
who, like the sampled Copts, have more of it than did
Natufians. It attests to Natufian's African affinities just
as the Neolithic Anatoli element supports Eurasian relations.

Interestingly the three minor African elements in Natufians
correspond to three latitudinal zones; South Africa, Equatorial
to Savanna, and Tropical North Africa. No Senegal to Gulf of
Guinea West/Central Africa because not yet coalesced maybe?
Whatever lil bit o Fulani there would be included in the barely
significant TNA genome of the Pleistocene/Holocene time hub?
Can't really tell if that's Atlantic Jola or bleed way over on the
right border of the Natufian graph but it'd make sense if so.

 -

[img]  - [/img]  -


in response to
quote:
Originally posted by BrandonP:

Some findings of interest:
  • ANA (Ancient North African) ancestry appears to be most heavily concentrated in Northeast African populations, although West and Central Africans, as well as ancient Maghrebis, have some ANA as well.
  • Various ancient populations in West Eurasia have small but significant ANA ancestry components as well. Minoans actually have a rather large chunk of it as far as EEF-descended populations go.
  • The Abusir el Meleq mummies have less ANA than modern Egyptians (either Coptic or Muslim). The former have approximately as much ANA as Natufians.
Make of that what you will.
and maybe inline with
quote:
Originally posted by Mansamusa:
I was thinking that ANA was a NW African counterpart to a separate NE African component, but is fundamentally East African I see.

and on and on
quote:
Originally posted by Mansamusa:
You mean the Euronuts will NOT take it well? If true, the analysis shows that Natufians really ain't all that, and are probably the source of ANA in neighboring SW Asian ancient populations and not a source of Levant Neolithic ancestry in Ancient African populations like Kenyan PN or modern Horners.

The Eurasian back migration fetish in Africa that is so prominent in the genetic blogging community needs to be toppled. At this point, it's embarrassing. The Horner and N. African tribalists fantasize about their prehistoric ancestors mating with Eurasians in Africa and setting them apart from SSAs. [/qb]

quote:
Originally posted by BrandonP:I was being sarcastic when I said "the Eurocentrics will take it well".

That said, I think there could be even more African ancestry in these ancient West Eurasian populations (as well as the ancient North African ones) than just ANA. If it turns out that "Basal Eurasian" really is African in origin too, then it would be another layer of northern African ancestry on top of the ANA already documented. That is, assuming ANA hasn't affected some of the estimated proportions of BE ancestry in these ancient populations.



--------------------
I'm just another point of view. What's yours? Unpublished work © 2004 - 2023 YYT al~Takruri
Authentic Africana over race-serving ethnocentricisms, Afro, Euro, or whatever.

Posts: 8179 | From: the Tekrur straddling Senegal & Mauritania | Registered: Dec 2011  |  IP: Logged | Report this post to a Moderator
Mansamusa
Member
Member # 22474

Rate Member
Icon 1 posted      Profile for Mansamusa     Send New Private Message       Edit/Delete Post   Reply With Quote 
@Tukuler, I am guessing 3 is Nilo-Saharan and 13 is Afroasiatic based in the Nile Valley and spilling over into that butt end of Africa known as the Levant or SW Asia.

I mean if archaeology and history and linguistics is a faithful reflection of genetics, then groups like the Beja and Halfawi may be a proxy for unadmixed (with Levantines) Ancient Egyptians. Afroasiatic hunter gatherers and intensive wild grain collectors mixed with Nilo-Saharan herders/semi-herders.

Posts: 288 | From: Asia | Registered: Mar 2016  |  IP: Logged | Report this post to a Moderator
the lioness,
Member
Member # 17353

Rate Member
Icon 1 posted      Profile for the lioness,     Send New Private Message       Edit/Delete Post   Reply With Quote 
quote:
Originally posted by Elmaestro:


If Ifri_N_Amr Early neolithic samples where V257 and the next set of North Africans to carry the related paternal haplogroups clearly postdated M183's expansion (guanches) Why would you NOT look for M81(xM183).


^^ that's unintelligible, no one would have any idea what your talking about or what the significance of it is

E-M81 is common in West North Africa, 183 is one of it's sub clades.
It makes no difference

Therefore if someone is going to talk about ANA (and this is a new term apparently) , Ancient North African DNA E-M81 is at least distinctive enough to associate with North Africa in particular, that is all I'm saying (although it's ancestor is Eastern)

I think you are trying to ask me some rhetorical test question here that you already have an opinion on

M81 is believed to have originated in the Northwest Africa and has an estimated age of 4800 ybp its dominated by a younger subclade, E-M183

 -

Posts: 42918 | From: , | Registered: Jan 2010  |  IP: Logged | Report this post to a Moderator
Tukuler
multidisciplinary Black Scholar
Member # 19944

Icon 1 posted      Profile for Tukuler   Author's Homepage     Send New Private Message       Edit/Delete Post   Reply With Quote 
89% co-sign & you caught me with my lects out [Embarrassed] [Big Grin] OK maybe I ought to said bio-lingual geographies?

Coming up, basically the same redux but with certain
population deletions and additions, noticeably the ancients
which are more appropriate for ANA concerns, right?

Let's see if choice of populations greatly influences the groupings (Ks) ratios.


quote:
Originally posted by Mansamusa:
@Tukuler, I am guessing 3 is Nilo-Saharan and 13 is Afroasiatic based in the Nile Valley and spilling over into that butt end of Africa known as the Levant or SW Asia.

I mean if < genetics is a faithful reflection of archaeology and history >, then groups like the Beja and Halfawi may be a proxy for unadmixed (with Levantines) Ancient Egyptians. Afroasiatic hunter gatherers and intensive wild grain collectors mixed with Nilo-Saharan herders/semi-herders.

.

"I would not feel so all alone" concurring evidences across disciplines is my interpretive guiding light too.

--------------------
I'm just another point of view. What's yours? Unpublished work © 2004 - 2023 YYT al~Takruri
Authentic Africana over race-serving ethnocentricisms, Afro, Euro, or whatever.

Posts: 8179 | From: the Tekrur straddling Senegal & Mauritania | Registered: Dec 2011  |  IP: Logged | Report this post to a Moderator
Elmaestro
Moderator
Member # 22566

Member Rated:
5
Icon 1 posted      Profile for Elmaestro     Send New Private Message       Edit/Delete Post   Reply With Quote 
quote:
Originally posted by the lioness,:
quote:
Originally posted by Elmaestro:


If Ifri_N_Amr Early neolithic samples where V257 and the next set of North Africans to carry the related paternal haplogroups clearly postdated M183's expansion (guanches) Why would you NOT look for M81(xM183).


^^ that's unintelligible, no one would have any idea what your talking about or what the significance of it is

E-M81 is common in West North Africa, 183 is one of it's sub clades.
It makes no difference

Therefore if someone is going to talk about ANA (and this is a new term apparently) , Ancient North African DNA E-M81 is at least distinctive enough to associate with North Africa in particular, that is all I'm saying (although it's ancestor is Eastern)

I think you are trying to ask me some rhetorical test question here that you already have an opinion on

M81 is believed to have originated in the Northwest Africa and has an estimated age of 4800 ybp its dominated by a younger subclade, E-M183

It's not rhetorical.

But it's evident that you're just typing things or copy and pasting without putting in much thought. M183 is recent. Ancient North African as introduced by Lazaridis were ancestral to Taforalt. If you're still confused look at this chart. And look at where Ancestral north Africans would be placed. Now knowing that M81 is dominated by a 2.3Kya subclade, which relevant autosomal component could possibly be treated as a Maghrebi component defned by M81's distribution? Question two should be; Knowing that M183 is so recent can we see any differences between the populations who carried it and other M81 populations? This goes a long way in possibly answering questions such as:
-Could contemporary North-Africans be defined by the latest widespread expansion?
-Does M81 show continuity from earlier North Africans whether the Pleistocene/Early Neolithic or the late Neolithic Moroccans?
-Does M81 carriers show discontinuity or turn over in anyway such as elevated SSA, Near eastern or European ancestry?
-If any of the above are true, is there any disparity between M183 and other M81 lineages?

Keep in mind there's potentially 12,000 years of history separating the North African origin of M81 and M183. So once again...

--If Ifri_N_Amr, the Early neolithic samples were V257 and the next set of North Africans to carry the related paternal haplogroups clearly postdated M183's expansion (guanches) Why would you NOT look for M81(xM183)?--

[frames question more intelligibly]


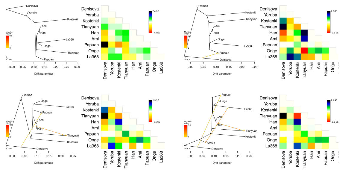
Also side note: your question about the Eurasian reference population can potentially be answered by looking at the graph I linked above. (You can also look at how other populations were also used in place of the Hoabinhan samples on the webpage). The Hoabinhan samples were introduced in this study And were best determined (by their limited methods) to be adjacent to the Onge and more distantly Papuans.

quote:
"We used qpWave/qpAdm (107,108) to determine if La368 and Ma911 can be modelled as a linear combination of ancestries from Papuans, Önge and/or Tiányuán without the need to invoke partial ancestry from a population that may have split from them before these populations split from each other. As outgroup populations, we used Yoruba (18), Ust’-Ishim (109) , Kostenki-14 (101), Mal’ta (110), Afontova Gora 3, Vestonice 16, El Mirón and Villabruna (111). All best 3- way and 2-way combinations for La368 are not feasible (have negative admixture weights). There are two 1-way possibilities (La368 as a sister group to either Önge or Papuans) that are feasible and are good fits (P = 0.37 and P = 0.27, respectively), as expected because Önge and Papuans are sister clades to each other - barring Denisovan introgression into Papuans."
16


 -
Fig. S21.
TreeMix admixture graphs modelling relationships between the “base populations” and La368 (Group 1)


Population history of the Andaman Islanders should let you know why the Hoabinahan could be a good fit to deep/Early Eurasian ancestry. Combine that with the fact that treemix is showing contribution from them to the Yoruba as well as the qpGraph requiring deep ancestry

Posts: 1781 | From: New York | Registered: Jul 2016  |  IP: Logged | Report this post to a Moderator
Elmaestro
Moderator
Member # 22566

Member Rated:
5
Icon 1 posted      Profile for Elmaestro     Send New Private Message       Edit/Delete Post   Reply With Quote 
quote:
Originally posted by Mansamusa:
@Tukuler, I am guessing 3 is Nilo-Saharan and 13 is Afroasiatic based in the Nile Valley and spilling over into that butt end of Africa known as the Levant or SW Asia.

I mean if archaeology and history and linguistics is a faithful reflection of genetics, then groups like the Beja and Halfawi may be a proxy for unadmixed (with Levantines) Ancient Egyptians. Afroasiatic hunter gatherers and intensive wild grain collectors mixed with Nilo-Saharan herders/semi-herders.

Right, So long as we account for potential Mesolithic-Nubian and post common era Eurasian and SSA admixture in the Beja and Nubians. As the archaeology suggests we do.
Posts: 1781 | From: New York | Registered: Jul 2016  |  IP: Logged | Report this post to a Moderator
SlimJim
Junior Member
Member # 23217

Rate Member
Icon 1 posted      Profile for SlimJim     Send New Private Message       Edit/Delete Post   Reply With Quote 
quote:
Originally posted by Mansamusa:
@Tukuler, I am guessing 3 is Nilo-Saharan and 13 is Afroasiatic based in the Nile Valley and spilling over into that butt end of Africa known as the Levant or SW Asia.

I mean if archaeology and history and linguistics is a faithful reflection of genetics, then groups like the Beja and Halfawi may be a proxy for unadmixed (with Levantines) Ancient Egyptians. Afroasiatic hunter gatherers and intensive wild grain collectors mixed with Nilo-Saharan herders/semi-herders.

Ancient Egyptians were probably not 40-50% Dinka as Beni Amers are, Bejas have mixed with Arab pastoralists and Tigre Eritreans, so they likely have some Yemeni ancestry, Ethiopian Cushitic speakers minus the Afar are probably a better proxy due to little Arabian ancestry thats found in Bejas and Ethiosemitic speakers, and their Omotic/Mota ancestry that would have been in AE which isn't found in Bejas. The proportions will be off as they are too SSA but in terms of what they carry, I think it will largely be the same as an early upper Egyptian.
Posts: 161 | From: England | Registered: May 2020  |  IP: Logged | Report this post to a Moderator
Antalas
On vacation
Member # 23506

Icon 1 posted      Profile for Antalas         Edit/Delete Post   Reply With Quote 
quote:
Originally posted by Mansamusa:


The Eurasian back migration fetish in Africa that is so prominent in the genetic blogging community needs to be toppled. At this point, it's embarrassing. The Horner and N. African tribalists fantasize about their prehistoric ancestors mating with Eurasians in Africa and setting them apart from SSAs. [/QB]

That's literally what happened actually, you think people waited "hyksos" or arabs to settle in North Africa ? From Iberomaurusians to capsians or KEB everything points to eurasian back migrations. We literally have culture of european origin in Morocco such as cardial or Bell beaker but you want us to believe such events never happened ?
Posts: 1779 | From: Somewhere In the Rif Mountains | Registered: Nov 2021  |  IP: Logged | Report this post to a Moderator
Mansamusa
Member
Member # 22474

Rate Member
Icon 1 posted      Profile for Mansamusa     Send New Private Message       Edit/Delete Post   Reply With Quote 
quote:
Originally posted by Antalas:
quote:
Originally posted by Mansamusa:


The Eurasian back migration fetish in Africa that is so prominent in the genetic blogging community needs to be toppled. At this point, it's embarrassing. The Horner and N. African tribalists fantasize about their prehistoric ancestors mating with Eurasians in Africa and setting them apart from SSAs.

That's literally what happened actually, you think people waited "hyksos" or arabs to settle in North Africa ? From Iberomaurusians to capsians or KEB everything points to eurasian back migrations. We literally have culture of european origin in Morocco such as cardial or Bell beaker but you want us to believe such events never happened ? [/QB]
Am talking about the Predynastic in Egypt and the spread of pastoralism in Kenya. No one disputes Hyksos or very old Eurasian mixture in NW Africa.
Posts: 288 | From: Asia | Registered: Mar 2016  |  IP: Logged | Report this post to a Moderator
Antalas
On vacation
Member # 23506

Icon 1 posted      Profile for Antalas         Edit/Delete Post   Reply With Quote 
quote:
Originally posted by Mansamusa:
quote:
Originally posted by Antalas:
quote:
Originally posted by Mansamusa:


The Eurasian back migration fetish in Africa that is so prominent in the genetic blogging community needs to be toppled. At this point, it's embarrassing. The Horner and N. African tribalists fantasize about their prehistoric ancestors mating with Eurasians in Africa and setting them apart from SSAs.

That's literally what happened actually, you think people waited "hyksos" or arabs to settle in North Africa ? From Iberomaurusians to capsians or KEB everything points to eurasian back migrations. We literally have culture of european origin in Morocco such as cardial or Bell beaker but you want us to believe such events never happened ?

Am talking about the Predynastic in Egypt and the spread of pastoralism in Kenya. No one disputes Hyksos or very old Eurasian mixture in NW Africa. [/QB]
So how did horners got their west eurasian ancestry then ? Why would all these eurasians settle in NW Africa and strangely miss the fertile Nile valley ?
Posts: 1779 | From: Somewhere In the Rif Mountains | Registered: Nov 2021  |  IP: Logged | Report this post to a Moderator
SlimJim
Junior Member
Member # 23217

Rate Member
Icon 1 posted      Profile for SlimJim     Send New Private Message       Edit/Delete Post   Reply With Quote 
quote:
Originally posted by Antalas:
quote:
Originally posted by Mansamusa:
quote:
Originally posted by Antalas:
quote:
Originally posted by Mansamusa:


The Eurasian back migration fetish in Africa that is so prominent in the genetic blogging community needs to be toppled. At this point, it's embarrassing. The Horner and N. African tribalists fantasize about their prehistoric ancestors mating with Eurasians in Africa and setting them apart from SSAs.

That's literally what happened actually, you think people waited "hyksos" or arabs to settle in North Africa ? From Iberomaurusians to capsians or KEB everything points to eurasian back migrations. We literally have culture of european origin in Morocco such as cardial or Bell beaker but you want us to believe such events never happened ?

Am talking about the Predynastic in Egypt and the spread of pastoralism in Kenya. No one disputes Hyksos or very old Eurasian mixture in NW Africa.

So how did horners got their west eurasian ancestry then ? Why would all these eurasians settle in NW Africa and strangely miss the fertile Nile valley ? [/QB]
Native North Africans devoid of Eurasian ancestry can look genetically "Eurasian" due to the nature of OOA in which Eurasians are a subset of North East African diversity, so populations at/close to the exit routes out of Africa, North/East Africans, will naturally be genetically close to Eurasians, regardless of whether they carry Eurasian DNA or not. This is the source of some of the "Eurasian" like DNA present in the Horn.
Posts: 161 | From: England | Registered: May 2020  |  IP: Logged | Report this post to a Moderator
Antalas
On vacation
Member # 23506

Icon 1 posted      Profile for Antalas         Edit/Delete Post   Reply With Quote 
quote:
Originally posted by SlimJim:
Native North Africans devoid of Eurasian ancestry

That doesn't exist

quote:
Originally posted by SlimJim: can look genetically "Eurasian" due to the nature of OOA in which Eurasians are a subset of North East African diversity, so populations at/close to the exit routes out of Africa, North/East Africans, will naturally be genetically close to Eurasians, regardless of whether they carry Eurasian DNA or not. This is the source of some of the "Eurasian" like DNA present in the Horn. [/QB]
Basal eurasian certainly didn't look as eurasian as you might think + it wouldn't prevent horners to have proper eurasian ancestry from later migrations.
Posts: 1779 | From: Somewhere In the Rif Mountains | Registered: Nov 2021  |  IP: Logged | Report this post to a Moderator
the lioness,
Member
Member # 17353

Rate Member
Icon 1 posted      Profile for the lioness,     Send New Private Message       Edit/Delete Post   Reply With Quote 
quote:
Originally posted by Elmaestro:
quote:
Originally posted by the lioness,:
[qb]
quote:
Originally posted by Elmaestro:


If Ifri_N_Amr Early neolithic samples where V257 and the next set of North Africans to carry the related paternal haplogroups clearly postdated M183's expansion (guanches) Why would you NOT look for M81(xM183).


^^ that's unintelligible, no one would have any idea what your talking about or what the significance of it is

E-M81 is common in West North Africa, 183 is one of it's sub clades.
It makes no difference

Therefore if someone is going to talk about ANA (and this is a new term apparently) , Ancient North African DNA E-M81 is at least distinctive enough to associate with North Africa in particular, that is all I'm saying (although it's ancestor is Eastern)

I think you are trying to ask me some rhetorical test question here that you already have an opinion on

M81 is believed to have originated in the Northwest Africa and has an estimated age of 4800 ybp its dominated by a younger subclade, E-M183

It's not rhetorical.

But it's evident that you're just typing things or copy and pasting without putting in much thought. M183 is recent. Ancient North African as introduced by Lazaridis were ancestral to Taforalt.

Thnk you for your detailed reply other than the thought comment

Here's what
Lazaridis said, I'm not an adherent to some of his theories, for instances talking about basal Eurasian like it's real but having no remains of a basal Eurasian. anyway he say in the article you linked the following about North Africa

Paleolithic DNA from the Caucasus reveals core of West Eurasian ancestry
Iosif Lazaridis


we report genome-wide data from two ∼26 thousand year old individuals from Dzudzuana Cave in Georgia in the Caucasus from around the beginning of the LGM. Surprisingly, the Dzudzuana population was more closely related to early agriculturalists from western Anatolia ∼8 thousand years ago8 than to the hunter-gatherers of the Caucasus from the same region of western Georgia of ∼13-10 thousand years ago

We analyzed teeth from two individuals 63 recovered from Dzudzuana Cave, Southern Caucasus, from an archaeological layer previously dated to ~27-24kya (…). Both individuals had mitochondrial DNA sequences (U6 and N) that are consistent with deriving from lineages that are rare in the Caucasus or Europe today.

Most of the Dzudzuana population's ancestry was deeply related to the post-glacial western European hunter-gatherers of the 'Villabruna cluster', but it also had ancestry from a lineage that had separated from the great majority of non-African populations before they separated from each other, proving that such 'Basal Eurasians' were present in West Eurasia twice as early as previously recorded.

We finally show that the Dzudzuana population contributed the majority of the ancestry of post-Ice Age people in the Near East, North Africa, and even parts of Europe, thereby becoming the largest single contributor of ancestry of all present-day West Eurasians.

If our model is correct, Epipaleolithic Natufians trace part of their ancestry to North Africa, consistent with morphological and archaeological studies that indicate a spread of morphological features22 and artifacts from North Africa into the Near East. Such a scenario would also explain the presence of Y-chromosome haplogroup E in the Natufians and Levantine farmers6, a common link between the Levant and Africa. Moreover, our model predicts that West Africans (represented by Yoruba) had 12.5±1.1% ancestry from a Taforalt-related group rather than Taforalt having ancestry from an unknown Sub-Saharan African source11; this may have mediated the limited Neanderthal admixture present in West Africans23. An advantage of our model is that it allows for a local North African component in the ancestry of Taforalt, rather than deriving them exclusively from Levantine and Sub-Saharan sources.


The ancestry of present-day Europeans has been traced to the proximate sources of Mesolithic hunter-gatherers, Early European/Anatolian farmers, and steppe pastoralists, but the ancestry of Near Eastern and North African populations has not been investigated due to lack of appropriate ancient sources. We present a unified analysis of diverse European, Near Eastern, North African populations in terms of the deepest known sources of ancestry (Fig. 3), which suggests that Dzudzuana-related ancestry makes up ∼46-88% of the ancestry of all these populations, with Dzudzuana-related ancestry more strongly found in southern populations across West Eurasia

Our co-modeling of Epipaleolithic Natufians and Ibero-Maurusians from Taforalt confirms that the Taforalt population was mixed, but instead of specifying gene flow from the ancestors of Natufians into the ancestors of Taforalt as originally reported, we infer gene flow in the reverse direction (into Natufians).

____________________________

Maestro ^^ he's on some Caucus stuff here, U6 found in 26K in Georgia

Say Taforalt (U6 bearers) are ancestors of Natufians but the Taforalt population was "mixed'

If our model is correct, Epipaleolithic Natufians trace part of their ancestry to North Africa, consistent with morphological and archaeological studies that indicate a spread of morphological features and artifacts from North Africa into the Near East. Such a scenario would also explain the presence of Y-chromosome haplogroup E in the Natufians and Levantine farmers, a common link between the Levant and Africa.

Dzudzuana-related ancestry can be viewed as the common core of the ancestry of West Eurasian-North African populations.


@ElMaestro
my question is if Taforalt is a mixed population
(with DNA also similar to many modern day barbers
- U6 and E together )
and if U6 has Eurasian roots

Then if they are mixed then what was the paternal DNA of Dzudzuana or any other similarly old U6 bearing population in the Caucus?
Or U5 ? what is the typical brother Y group there?


Now going back to the OP:

quote:
Originally posted by BrandonP:
Courtesy of revoiye
Some findings of interest:

1) ANA (Ancient North African) ancestry appears to be most heavily concentrated in Northeast African populations, although West and Central Africans, as well as ancient Maghrebis, have some ANA as well.

2) Various ancient populations in West Eurasia have small but significant ANA ancestry components as well. Minoans actually have a rather large chunk of it as far as EEF-descended populations go.

3) The Abusir el Meleq mummies have less ANA than modern Egyptians (either Coptic or Muslim). The former have approximately as much ANA as Natufians. Make of that what you will.

(note: I have converted the asterisks in quote to numbers for easy reference)

reactions
1) Lazaridis doesn't explicitly use this term ANA
but it's easy to infer he's calling E1b1b North African and that is a common view, nothing unique
(and older than the sub clade M81)
This combined with Eurasian DNA U6

"heavily concentrated in Northeast African populations" ?

No, because so called ANA ancient African DNA is being described in this analysis as actually a combination of male African DNA and Caucasus female DNA (spicy)
>and U6 is not that common in Northeast African populations as it is in North West African populations

_______________________
Modern Egyptians:

In 2009 Mitochondrial data was sequenced for 277 unrelated Egyptian individuals[37] by Jessica L Saunier et al. in the journal Forensic Science International, as follows

R0 and its subgroups (31.4%)
L3 (12.3%); and Asian origin (n = 33)
including M (6.9%)

T (9.4%)
U (9.0%)
J (7.6%)
N (5.1%)
K (4.7%)
L2 (3.6%)
L1 (2.5%)
I (3.2%)
W (0.7%)
X (1.4%); African origin (n = 57) including L0 (2.2%)

____________________

^^ Yes some U6 9% but not as much as berbers in the Maghreb much higher U6
Their L lineages add up are 18.4%

and notably mtDNA R0

2) the blog posts says:
Surprisingly, among Non African populations the Minoan individuals from Odigitria report the highest amounts of ANA/African-related ancestry with Haobinhan as Y. Otherwise as expected, early neighboring populations of Israel associated with the early Pre-Pottery Neolithic B and Natufian cultures are estimated to have the highest amounts.

and they list a Lazaridis article in their references:

10. Lazaridis, I. et al. Genetic origins of the Minoans and Mycenaeans. Nature 548, 214–218 (2017).

yet that article says:

quote:
https://dash.harvard.edu/bitstream/handle/1/35014964/5565772.pdf?sequence=1&isAllowed=y

Genetic origins of the
Minoans and Mycenaeans
Lazaridis 2017

Other proposed migrations, such as settlement by Egyptian or
Phoenician colonists22 are not discernible in our data, as there is no measurable Levantine or
African influence in the Minoans and Myceneans, thus rejecting the hypothesis that the
cultures of the Aegean were seeded by migrants from the old civilizations of these regions.

from a table

Extended Data Table 1
Information on ancient samples reported in this study

Y groups:
J2,G2, J1

MtDNA
K1
U5
H1
H5
H
X2
U5
J2
I5
H+163
U3
K1
X2
H
X2
T2

Also

https://www.nature.com/articles/ncomms2871

Published: 14 May 2013
A European population in Minoan Bronze Age Crete
Jeffery R. Hughey,

To address the question of the origin of the Minoans, we analysed mtDNA polymorphisms in skeletal materials from two Minoan populations. The first population consisted of osseous remains of 39 individuals from an excavation of pre-palatial tholos tombs near the Odigitria monastery in southern Crete (Fig. 1);

Here we address the question of the origin of the Minoans by analysing mitochondrial DNA from Minoan osseous remains from a cave ossuary in the Lassithi plateau of Crete dated 4,400–3,700 years before present. Shared haplotypes, principal component and pairwise distance analyses refute the Evans North African hypothesis. Minoans show the strongest relationships with Neolithic and modern European populations and with the modern inhabitants of the Lassithi plateau. Our data are compatible with the hypothesis of an autochthonous development of the Minoan civilization by the descendants of the Neolithic settlers of the island.

The majority of Minoans were classified in haplogroups H (43.2%), T (18.9%), K (16.2%) and I (8.1%). Haplogroups U5A, W, J2, U, X and J were each identified in a single individual. The greatest percentage of shared Minoan haplotypes was observed with European populations, particularly with individuals from Northern and Western Europe (26.98% and 29.28%, respectively) (Figs 2, 3, 4; Supplementary Table S7). Notably, in Fig. 4, a gradient can be observed, with the lowest affinity for Minoans found with Northern African populations


_______________________

*Various ancient populations in West Eurasia have small but significant ANA ancestry components as well. Minoans actually have a rather large chunk of it as far as EEF-descended populations go.

__________________

^^ OP statement, I dont' see this large chunk

Here's the supplement

https://static-content.springer.com/esm/art%3A10.1038%2Fncomms2871/MediaObjects/41467_2013_BFncomms2871_MOESM77_ESM.pdf

No U6 here
although this was exclusively mitochondrial,
Lazraidis had both

3)
quote:
* The Abusir el Meleq mummies have less ANA than modern Egyptians (either Coptic or Muslim). The former have approximately as much ANA as Natufians. Make of that what you will.
well that is if you define "ANA" as U6 + E1b1b

this is what the blog says:

Ancient Egyptians of Abusir el Meleq show minimal or negligible changes between Y populations. This pattern could be explained by either variation among Early Eurasian populations as they relate to Africans or by ANA substructure which was poorly encapsulated by using the Haobinhan sample as a reference population. [/b]

^^ this is a pretty blurry remark, thats everything he says about Abusir
BP paraphrasing and looing at the charts says
[i]"The Abusir el Meleq mummies have less ANA than modern Egyptians (either Coptic or Muslim)...
Make of that what you will."


Considering Abusir el-Meleq was an mtDNA study with the exception of 3 mummies what this kind of come down to is U6 being declared the ANA marker, U6 like was found at Taforalt
And they are defining ANA as a mixed ancestry where though U6 has a higher frequency in NA it originates in the Caucus

OK, so using those definitions if we look at Abusir el-Meleq yes although there are several U bearing mummies there only 2 out of the 90 are U6

The crazy thing here is that we are urged to be skeptical by BP, "Make of that what you will"

but the evidence is plain The Abusir el Meleq mummies do have have less ANA than modern Egyptians

But that is only if you accept the definition of
ANA, Ancient West Africans as U6 bearers
(with E on the paternal side)

Posts: 42918 | From: , | Registered: Jan 2010  |  IP: Logged | Report this post to a Moderator
the lioness,
Member
Member # 17353

Rate Member
Icon 1 posted      Profile for the lioness,     Send New Private Message       Edit/Delete Post   Reply With Quote 
 -
Posts: 42918 | From: , | Registered: Jan 2010  |  IP: Logged | Report this post to a Moderator
SlimJim
Junior Member
Member # 23217

Rate Member
Icon 1 posted      Profile for SlimJim     Send New Private Message       Edit/Delete Post   Reply With Quote 
quote:
Originally posted by Antalas:
quote:
Originally posted by SlimJim:
Native North Africans devoid of Eurasian ancestry

That doesn't exist

quote:
Originally posted by SlimJim: can look genetically "Eurasian" due to the nature of OOA in which Eurasians are a subset of North East African diversity, so populations at/close to the exit routes out of Africa, North/East Africans, will naturally be genetically close to Eurasians, regardless of whether they carry Eurasian DNA or not. This is the source of some of the "Eurasian" like DNA present in the Horn.

Basal eurasian certainly didn't look as eurasian as you might think + it wouldn't prevent horners to have proper eurasian ancestry from later migrations. [/QB]
When I say "Native North Africans devoid of Eurasian ancestry" I'm not talking about modern populations but ancient ones.

Where do you think Basal Eurasian would plot on a PCA? All ancient Eurasian groups rich in Basal Eurasian whether it be Natufians, Hotu, Neolithic Iran, LBK etc... have very little to no SSA ancestry, its quite clear BE is strongly "Eurasian" like.

And yes it wouldn't prevent Horners from having proper Eurasian ancestry, thats exactly why I said it accounts for some of their Eurasian like ancestry, not all.

Posts: 161 | From: England | Registered: May 2020  |  IP: Logged | Report this post to a Moderator
Djehuti
Member
Member # 6698

Rate Member
Icon 14 posted      Profile for Djehuti     Send New Private Message       Edit/Delete Post   Reply With Quote 
Excellent find Brandon and revoiye. I wonder how all this matches with the dental discrete data I recently pulled up here.

quote:
Originally posted by BrandonP:

* Various ancient populations in West Eurasia have small but significant ANA ancestry components as well. Minoans actually have a rather large chunk of it as far as EEF-descended populations go.
* The Abusir el Meleq mummies have less ANA than modern Egyptians (either Coptic or Muslim). The former have approximately as much ANA as Natufians. Make of that what you will.

Am I going nuts? So what explanation is there for the 2013 Nature paper on the Bronze Age Minoans that you cited here??!

I also find it interesting that the 3 groups with the highest amount of ANA ancestry are the Toubou, Shilluk, and Dinka--all Nilo-Saharan speaking groups.

By the way, love how this data is making the snake squirm with panic. [Big Grin]

--------------------
Mahirap gisingin ang nagtutulog-tulugan.

Posts: 26236 | From: Atlanta, Georgia, USA | Registered: Feb 2005  |  IP: Logged | Report this post to a Moderator
TubuYal23
New
Member # 23503

Rate Member
Icon 1 posted      Profile for TubuYal23     Send New Private Message       Edit/Delete Post   Reply With Quote 
quote:
Originally posted by Antalas:
quote:
Originally posted by SlimJim:
Native North Africans devoid of Eurasian ancestry

That doesn't exist

quote:
Originally posted by SlimJim: can look genetically "Eurasian" due to the nature of OOA in which Eurasians are a subset of North East African diversity, so populations at/close to the exit routes out of Africa, North/East Africans, will naturally be genetically close to Eurasians, regardless of whether they carry Eurasian DNA or not. This is the source of some of the "Eurasian" like DNA present in the Horn.

Basal eurasian certainly didn't look as eurasian as you might think + it wouldn't prevent horners to have proper eurasian ancestry from later migrations. [/QB]
Hogwash

quote:
Originally posted by Djehuti:
Excellent find Brandon and revoiye. I wonder how all this matches with the dental discrete data I recently pulled up here.

quote:
Originally posted by BrandonP:

* Various ancient populations in West Eurasia have small but significant ANA ancestry components as well. Minoans actually have a rather large chunk of it as far as EEF-descended populations go.
* The Abusir el Meleq mummies have less ANA than modern Egyptians (either Coptic or Muslim). The former have approximately as much ANA as Natufians. Make of that what you will.

Am I going nuts? So what explanation is there for the 2013 Nature paper on the Bronze Age Minoans that you cited here??!

I also find it interesting that the 3 groups with the highest amount of ANA ancestry are the Toubou, Shilluk, and Dinka--all Nilo-Saharan speaking groups.

By the way, love how this data is making the snake squirm with panic [Big Grin]

Oh, how they were so confident and that's why Antalas is in here. lol
Posts: 45 | From: U.S | Registered: Nov 2021  |  IP: Logged | Report this post to a Moderator
Djehuti
Member
Member # 6698

Rate Member
Icon 1 posted      Profile for Djehuti     Send New Private Message       Edit/Delete Post   Reply With Quote 
quote:
Originally posted by SlimJim:

When I say "Native North Africans devoid of Eurasian ancestry" I'm not talking about modern populations but ancient ones.

Where do you think Basal Eurasian would plot on a PCA? All ancient Eurasian groups rich in Basal Eurasian whether it be Natufians, Hotu, Neolithic Iran, LBK etc... have very little to no SSA ancestry, its quite clear BE is strongly "Eurasian" like.

And yes it wouldn't prevent Horners from having proper Eurasian ancestry, thats exactly why I said it accounts for some of their Eurasian like ancestry, not all.

Some Afrocentrics suffer the same misunderstanding as their Eurocentric opponents. That is just as Eurocentrics don't understand that the very ancient Basal Eurasian is NOT the same as modern Eurasian, Afrocentrics don't understand that modern SSA does not represent all ancient Sub-Saharan let alone all African ancestries.

All modern Eurasian ancestries share Neanderthal admixture, but Basal Eurasian lacks that admixture which, at least in that aspect, shares with modern African heritage. You add that with the fact that the Hotu and Natufian skeletal remains share certain discretely African traits like post-bregmatic depression and features of the jaw make me believe they represent another Out-of-African wave of expansion.

--------------------
Mahirap gisingin ang nagtutulog-tulugan.

Posts: 26236 | From: Atlanta, Georgia, USA | Registered: Feb 2005  |  IP: Logged | Report this post to a Moderator
BrandonP
Member
Member # 3735

Icon 1 posted      Profile for BrandonP   Author's Homepage     Send New Private Message       Edit/Delete Post   Reply With Quote 
quote:
Originally posted by Djehuti:
Am I going nuts? So what explanation is there for the 2013 Nature paper on the Bronze Age Minoans that you cited here??!

That study based its conclusions on mtDNA haplogroups, not autosomal DNA.

--------------------
Brought to you by Brandon S. Pilcher

My art thread on ES

And my books thread

Posts: 7069 | From: Fallbrook, CA | Registered: Mar 2004  |  IP: Logged | Report this post to a Moderator
Djehuti
Member
Member # 6698

Rate Member
Icon 1 posted      Profile for Djehuti     Send New Private Message       Edit/Delete Post   Reply With Quote 
^ Nevermind, I got that older study confused with the more recent Lazaridis 2017 paper also published by Nature. LOL [Big Grin]

--------------------
Mahirap gisingin ang nagtutulog-tulugan.

Posts: 26236 | From: Atlanta, Georgia, USA | Registered: Feb 2005  |  IP: Logged | Report this post to a Moderator
Djehuti
Member
Member # 6698

Rate Member
Icon 14 posted      Profile for Djehuti     Send New Private Message       Edit/Delete Post   Reply With Quote 
quote:
Originally posted by Tukuler:

Hey yall please i aint jokin

I need a complete rundown on ANA

What is it
Who found/labeled it
When and where did it arise
How is it differentiated from others also of Africa

I know absolutely nothing about ANA
so I ask again this 3rd time for help.

quote:
Originally posted by the lioness,:

the abbreviation of the term "Ancestral North African"
is blogger extrapolation of the figure 2 chart, Lazradis/ David Reich Lab 2018

Lazaridis creates the term "PGNE"
(Post-glacial Near Easterners and North Africans)

Paleolithic DNA from the Caucasus reveals
core of West Eurasian ancestry
2018, Lazaridis

We first estimated FST, a measure of population genetic differentiation, to assess the genetic
97 relationships between ancient West Eurasian populations (Extended Data Table 1; Methods).
Post-glacial Near Easterners and North Africans (PGNE)


"the earliest PGNE populations from North Africa (Taforalt)
153 and the Epipaleolithic Levant (Natufians) (Fig. 2).

(Extended Data Fig.
5c), thus, it too—like the PGNE populations—had Basal Eurasian ancestry6,"

__________________

in the figure 2 chart Lazridis uses the term
"Ancestral North African" but never in the text abbreviated. Several times in the article uses refers to PGNE

So later somebody in wiki comments and in a blog
comes up with "ANA" as an abbreviation gleaned from the fig Lazardis chart

In the chart the E in PGNE is Epipaleolithic Levant (Natufians) which is depicted as descendant of Taforalt with further Eurasian input

To piggyback on Lioness's response, the concept of 'Ancestral North African' was discovered or rather such autosomal signal was first differentiated by Lazaridis et al. in the 2018 paper Paleolithic DNA from the Caucasus reveals Core of West Eurasian ancestry. Before it's differentiation or disentanglment, it was presumed all North African autosomal signal was simply 'Western Eurasian' from the Levant. The 2018 paper though makes it clear that ancient North African ancestry was far more complex than simply being part of West Asia:

Our co-modeling of Epipaleolithic Natufians and Ibero-Maurusians from Taforalt confirms that the Taforalt population was mixed, but instead of specifying gene flow from the ancestors of Natufians into the ancestors of Taforalt as originally reported, we infer gene flow in the reverse direction (into Natufians). The Neolithic population from Morocco, closely related to Taforalt is also consistent with being descended from the source of this gene flow, and appears to have no admixture from the Levantine Neolithic (Supplementary Information section 3). If our model is correct, Epipaleolithic Natufians trace part of their ancestry to North Africa, consistent with morphological and archaeological studies that indicate a spread of morphological features and artifacts from North Africa into the Near East. Such a scenario would also explain the presence of Y-chromosome haplogroup E in the Natufians and Levantine farmers, a common link between the Levant and Africa. Moreover, our model predicts that West Africans (represented by Yoruba) had 12.5±1.1% ancestry from a Taforalt-related group rather than Taforalt having ancestry from an unknown Sub-Saharan African source; this may have mediated the limited Neanderthal admixture present in West Africans. An advantage of our model is that it allows for a local North African component
in the ancestry of Taforalt, rather than deriving them exclusively from Levantine and Sub-Saharan sources.


Essentially Lazaridis et al. were able to differentiate a local North African ancestry distinct from the Dzudzuana ancestry that spread throughout Post-Glacial West Asia and the Mediterranean Basin (North Africa and Europe). By the way, I have my own questions regarding how Eurasian the Dzudzuana ancestry is but that's whole other topic (can of worms).

quote:
Originally posted by Tukuler:

if ANA was a reality
there'd be no question
as to who has it
and how much

Brandon has answered all that in this thread here.
quote:
Originally posted by BrandonP:
Courtesy of revoiye
 -
Some findings of interest:

* ANA (Ancient North African) ancestry appears to be most heavily concentrated in Northeast African populations, although West and Central Africans, as well as ancient Maghrebis, have some ANA as well.
* Various ancient populations in West Eurasia have small but significant ANA ancestry components as well. Minoans actually have a rather large chunk of it as far as EEF-descended populations go.
* The Abusir el Meleq mummies have less ANA than modern Egyptians (either Coptic or Muslim). The former have approximately as much ANA as Natufians. Make of that what you will.

Also, I can't help but notice how ANA in it's differentiation and biases is an awful lot like ANE (Ancestral North Eurasian). ANE has been assumed to be a branch of Western Eurasian ancestry ala Europeans but recent evidence seems to be refuting that. But that's another issue that deserves a thread of its own.
Posts: 26236 | From: Atlanta, Georgia, USA | Registered: Feb 2005  |  IP: Logged | Report this post to a Moderator
the lioness,
Member
Member # 17353

Rate Member
Icon 1 posted      Profile for the lioness,     Send New Private Message       Edit/Delete Post   Reply With Quote 
 -
Figure 2. An admixture graph model of Paleolithic West Eurasians. An automatically
generated admixture graph models fits 14 populations (worst Z-score of the difference
between estimated and fitted f-statistics is 2.7) or 15 populations (also including
South_Africa_HG, worst Z-score is 3.5). This is a simplified model assuming binary
admixture events and is not a unique solution (Supplementary Information section 2).
Sampled populations are shown with ovals and select labeled internal nodes with rectangles.

Paleolithic DNA from the Caucasus reveals core of West Eurasian ancestry
Iosif Lazaridis. 2018
____________________________

Even though "Ancestral North African" is in this chart I hesitate to use because I don't see it in other articles just the revoiye blog

In the text he uses (PGNE)
Post-glacial Near Easterners and North Africans
"the earliest PGNE populations from North Africa (Taforalt)"

I don't see see other researchers using that either although he did start abbreviation trends with BE, WHG, EHG and ENA.

you hear this on the streets now "what's up my EHG?"

what is going on in these Lazaridis charts is that he puts ancient remains specimens and then adds hypothetical ancestors

Posts: 42918 | From: , | Registered: Jan 2010  |  IP: Logged | Report this post to a Moderator
BrandonP
Member
Member # 3735

Icon 1 posted      Profile for BrandonP   Author's Homepage     Send New Private Message       Edit/Delete Post   Reply With Quote 
quote:
Originally posted by Djehuti:
Essentially Lazaridis et al. were able to differentiate a local North African ancestry distinct from the Dzudzuana ancestry that spread throughout Post-Glacial West Asia and the Mediterranean Basin (North Africa and Europe). By the way, I have my own questions regarding how Eurasian the Dzudzuana ancestry is but that's whole topic (can of worms).

My understanding is that Dzudzuana is itself a cross between West Eurasian and "Basal Eurasian", with the latter possibly being of African origin just like ANA. That would leave the sampled Iberomaurisian ancestry as essentially ANA + BE + actual Eurasian ancestry.

--------------------
Brought to you by Brandon S. Pilcher

My art thread on ES

And my books thread

Posts: 7069 | From: Fallbrook, CA | Registered: Mar 2004  |  IP: Logged | Report this post to a Moderator
Tukuler
multidisciplinary Black Scholar
Member # 19944

Icon 1 posted      Profile for Tukuler   Author's Homepage     Send New Private Message       Edit/Delete Post   Reply With Quote 
Dj and Brandon

Thanks for the ANA help.


Who prepped that chart?
Baria @ relative 75% ANA is outstanding
when one considers who that
ethnic group is.


In light of that chart:
Does ANA really point to North Africa?
How is North Africa defined?
Maghreb only?
Inclusive of Tibesti
and other places co-latitudinal to the Sahrawi Republic?


Just matters of discussion
no dug in batting stance
on my part since I don't
take much derived from
Lazaridis' into consideration
while recognizing most
everybody else does.

--------------------
I'm just another point of view. What's yours? Unpublished work © 2004 - 2023 YYT al~Takruri
Authentic Africana over race-serving ethnocentricisms, Afro, Euro, or whatever.

Posts: 8179 | From: the Tekrur straddling Senegal & Mauritania | Registered: Dec 2011  |  IP: Logged | Report this post to a Moderator
Elmaestro
Moderator
Member # 22566

Member Rated:
5
Icon 1 posted      Profile for Elmaestro     Send New Private Message       Edit/Delete Post   Reply With Quote 
quote:
Originally posted by Tukuler:
Dj and Brandon

Thanks for the ANA help.


Who prepped that chart?
Baria @ relative 75% ANA is outstanding
when one considers who that
ethnic group is.


In light of that chart:
Does ANA really point to North Africa?
How is North Africa defined?
Maghreb only?
Inclusive of Tibesti
and other places co-latitudinal to the Sahrawi Republic?


Just matters of discussion
no dug in batting stance
on my part since I don't
take much derived from
Lazaridis' into consideration
while recognizing most
everybody else does.

Y'know... ANA could very well be a misnomer.
It just seems that if this population/continuum existed, they'd reside in geographically Northern regions of Africa. Not just the Maghreb. And geologically speaking based on climate and old population movements. It wouldn't be far-fetched to agree or postulate that these people spent a lot of time in North East Africa.

Posts: 1781 | From: New York | Registered: Jul 2016  |  IP: Logged | Report this post to a Moderator
the lioness,
Member
Member # 17353

Rate Member
Icon 1 posted      Profile for the lioness,     Send New Private Message       Edit/Delete Post   Reply With Quote 
quote:
Originally posted by Elmaestro:

Y'know... ANA could very well be a misnomer.
It just seems that if this population/continuum existed, they'd reside in geographically Northern regions of Africa. Not just the Maghreb. And geologically speaking based on climate and old population movements. It wouldn't be far-fetched to agree or postulate that these people spent a lot of time in North East Africa.

this is an interesting quote as per maybe not dovetailing with that Lazaridis chart:

https://academic.oup.com/hmg/article/30/R1/R17/6025449

Population history of North Africa based on modern and ancient genomes

Marcel Lucas-Sánchez et al, 2021

The retrieval of stone artifacts and cutmarked bones from an archeological site in Algeria places the first peopling of North Africa around 2.4 million years ago (28), whereas direct bone dating of the oldest human remains from the Moroccan site of Jebel Irhoud points to 300 thousand years ago (ka) (9). Many more fossils have been recovered in North Africa (29) but only for a few of them it has been possible to extract and analyze their genome. The Taforalt site in Morocco (dated between 15 100 and 13 900 calibrated years before present) is the oldest site to date to yield DNA data, not only in North Africa but in Africa as a whole. The analyzed Taforalt individuals show high affinity toward Near Eastern populations, especially Epipaleolithic Natufians, with whom they share 63.5% of their ancestry on average. These individuals present mtDNA haplogroups U6 and M1, concordant with the pre-Holocene back-to-Africa event (22,26,30). An ancient sub-Saharan ancestral component is also present, showing a higher affinity with Taforalt than with any combination of Yoruba–Natufian ancestry. Also, no gene flow from Paleolithic Europeans is observed (22).

[22]Pleistocene North African genomes link Near Eastern and
sub-Saharan African human populations
Marieke van de Loosdrecht, 2018


The Taforalt individuals derive one third of their ancestry from sub-Saharan Africans,

We analyzed the genetic affinities of the Taforalt individuals by performing principal component analysis (PCA) and
model-based clustering of worldwide data (Fig. 2). When projected onto the top PCs of African and West Eurasian populations, the Taforalt individuals form a distinct cluster in an
intermediate position between present-day North Africans
(e.g., Amazighes (Berbers), Mozabite and Saharawi) and East
Africans (e.g., Afar, Oromo and Somali) (Fig. 2A). Consistently, we find that all males with sufficient nuclear DNA
preservation carry Y haplogroup E1b1b1a1 (M-78; table S16).

This haplogroup occurs most frequently in present-day North
and East African populations (18). The closely related
E1b1b1b (M-123) haplogroup has been reported for Epipaleolithic Natufians and Pre-Pottery Neolithic Levantines (“Levant_N”) (16).

We observe significant positive f4 values for all sub-Saharan African and significant negative values for all Eurasian populations, supporting
a substantial contribution from sub-Saharan Africa (Fig. 3B).
West Africans, such as Mende and Yoruba most strongly pull
out the sub-Saharan African ancestry in Taforalt (Fig. 3B and
figs. S15 and S16)

Consistently, using
qpGraph (21) we find that a mixture of Natufian and Yoruba
reasonably fits the Taforalt gene pool (|Z| ≤ 3.7; fig. S19 and
table S10). Adding gene flow from Paleolithic Europeans does
not improve the model fit and provides an ancestry contribution estimate of 0% (fig. S19). We thus find no evidence of
gene flow from Paleolithic Europeans into Taforalt within the
resolution of our data.
We further characterized the sub-Saharan African-related
ancestry in the Taforalt individuals using f4 statistics in the
form f4(Chimpanzee, African; Yoruba/Mende, Natufian). Although the oldest Iberomaurusian microlithic bladelet
technologies are found earlier in the Maghreb than their
equivalents in northeastern Africa (Cyrenaica) and the earliest Natufian in the Levant, the complex sub-Saharan ancestry
in Taforalt makes our individuals an unlikely proxy for the
ancestral population of later Natufians who do not harbor
sub-Saharan ancestry. An epicenter in the Maghreb is plausible only if the sub-Saharan African admixture into Taforalt
either post-dated the expansion into the Levant or was a locally confined phenomenon. Alternatively, placing the epicenter in Cyrenaica or the Levant requires an additional
explanation for the observed archaeological chronology.
_______________________________


I'm a little confused by this

Taforalt according to the above are
E1b1b1a1

Natufians
I0861: E1b1b1b2(x E1b1b1b2a, E1b1b1b2b)
I1069: E1b1(xE1b1a1, E1b1b1b1)
I1072: E1b1b1b2(xE1b1b1b2a, E1b1b1b2b)
I1685: CT
I1690: CT

https://dash.harvard.edu/bitstream/handle/1/31731830/5003663.pdf

Genomic insights into the origin of farming in the ancient Near East
Iosif Lazaridis, Dani Nadel, …David Reich
2016

A population without Neanderthal admixture, basal to other Eurasians, may have plausibly
lived in Africa. Craniometric analyses have suggested an affinity between the Natufians and
populations of north or sub-Saharan Africa24,25, a result that finds some support from Y
chromosome analysis which shows that the Natufians and successor Levantine Neolithic
populations carried haplogroup E, of likely ultimate African origin, which has not been
detected in other ancient males from West Eurasia (Supplementary Information, section
6) 7,8
However, no affinity of Natufians to sub-Saharan Africans
is evident in our genomewide analysis,
as present-day sub-Saharan Africans do not share more alleles with Natufians
than with other ancient Eurasians (Extended Data Table 1).


__________________________


I don't know if Sánchez agree with Lazaridis
but if he does, it seems that he's calling Taforalt's
E1b1b1a1 (M-78) > sub-Saharan
yet this similar Natufian clade
E1b1b1b2 is not sub-Saharan !!


E1b1b1b2(x E1b1b1b2a, E1b1b1b2b)
I1069: E1b1(xE1b1a1, E1b1b1b1)
I1072: E1b1b1b2(xE1b1b1b2a, E1b1b1b2b)

So the proposal is that the ancestors of Natufian
went into the the levant with sub-saharan DNA on their male side. Then after some time they de-sub-sahranized the E (the put a Levant spin on it)
Then some of these Natufians with their Eurasian U6 and de-subsharanized E went into Morocco

but then !!!.....

after they got to Taforalt
the E got re-sub-saharanized !!!

Posts: 42918 | From: , | Registered: Jan 2010  |  IP: Logged | Report this post to a Moderator
Tukuler
multidisciplinary Black Scholar
Member # 19944

Icon 1 posted      Profile for Tukuler   Author's Homepage     Send New Private Message       Edit/Delete Post   Reply With Quote 
If anything, I think this "ANA" corresponds some
kinda way or other with your Sudan K element most
frequent in Bataheen in your runs w/o actual ancient
North African data. Gotta check now and see if it's
in those runs too and how it looks there.

It's a down Nile veering both Sahra/S Med-coast and Arabian Plate/SE Med-coast thing, eh?


EDIT
OK may be the Orange K highest in
England_Roman_MiddleEast SG? No
geography flow guesses for this
one though. It's there in Stuttgart.
In search of Heatwaves' Boogie Nights?

Does it tie into Behrens and Williamson's
Gharb Darfur region Tamazight lect origins?

Tamazight had moved up from the Gharb
Darfur region of Sudan where it originated
per Behrens and Williamson.

Then there's downstream U6 and E-?? coupling
that also arced northwest from NE Afr, maybe
start in Kenya. A late and small yet supporting
population flow.


quote:
Originally posted by Elmaestro:
quote:
Originally posted by Tukuler:
Dj and Brandon

Thanks for the ANA help.


Who prepped that chart?
Baria @ relative 75% ANA is outstanding
when one considers who that
ethnic group is.


In light of that chart:
Does ANA really point to North Africa?
How is North Africa defined?
Maghreb only?
Inclusive of Tibesti
and other places co-latitudinal to the Sahrawi Republic?


Just matters of discussion
no dug in batting stance
on my part since I don't
take much derived from
Lazaridis' into consideration
while recognizing most
everybody else does.

Y'know... ANA could very well be a misnomer.
It just seems that if this population/continuum existed, they'd reside in geographically Northern regions of Africa. Not just the Maghreb. And geologically speaking based on climate and old population movements. It wouldn't be far-fetched to agree or postulate that these people spent a lot of time in North East Africa.



--------------------
I'm just another point of view. What's yours? Unpublished work © 2004 - 2023 YYT al~Takruri
Authentic Africana over race-serving ethnocentricisms, Afro, Euro, or whatever.

Posts: 8179 | From: the Tekrur straddling Senegal & Mauritania | Registered: Dec 2011  |  IP: Logged | Report this post to a Moderator
Djehuti
Member
Member # 6698

Rate Member
Icon 1 posted      Profile for Djehuti     Send New Private Message       Edit/Delete Post   Reply With Quote 
quote:
Originally posted by the lioness,:

this is an interesting quote as per maybe not dovetailing with that Lazaridis chart:


https://academic.oup.com/hmg/article/30/R1/R17/6025449

Population history of North Africa based on modern and ancient genomes

Marcel Lucas-Sánchez et al, 2021

The retrieval of stone artifacts and cutmarked bones from an archeological site in Algeria places the first peopling of North Africa around 2.4 million years ago (28), whereas direct bone dating of the oldest human remains from the Moroccan site of Jebel Irhoud points to 300 thousand years ago (ka) (9). Many more fossils have been recovered in North Africa (29) but only for a few of them it has been possible to extract and analyze their genome. The Taforalt site in Morocco (dated between 15 100 and 13 900 calibrated years before present) is the oldest site to date to yield DNA data, not only in North Africa but in Africa as a whole. The analyzed Taforalt individuals show high affinity toward Near Eastern populations, especially Epipaleolithic Natufians, with whom they share 63.5% of their ancestry on average. These individuals present mtDNA haplogroups U6 and *M1*, concordant with the pre-Holocene back-to-Africa event (22,26,30). An ancient sub-Saharan ancestral component is also present, showing a higher affinity with Taforalt than with any combination of Yoruba–Natufian ancestry. Also, no gene flow from Paleolithic Europeans is observed (22).

Haplogroup U6 I get, but I question Lucas-Sánchez et al's inclusion of M1 as Eurasian back-migration considering that M1 has both its highest frequency and diversity in East Africa and nowhere else. Also the fact that this Sub-Saharan ancestry is NOT associated with Yoruba should come as no shock to us here on Egyptsearch.

quote:
[22]Pleistocene North African genomes link Near Eastern and
sub-Saharan African human populations
Marieke van de Loosdrecht, 2018


The Taforalt individuals derive one third of their ancestry from sub-Saharan Africans,

We analyzed the genetic affinities of the Taforalt individuals by performing principal component analysis (PCA) and
model-based clustering of worldwide data (Fig. 2). When projected onto the top PCs of African and West Eurasian populations, the Taforalt individuals form a distinct cluster in an
intermediate position between present-day North Africans
(e.g., Amazighes (Berbers), Mozabite and Saharawi) and East
Africans (e.g., Afar, Oromo and Somali) (Fig. 2A). Consistently, we find that all males with sufficient nuclear DNA
preservation carry Y haplogroup E1b1b1a1 (M-78; table S16).

This haplogroup occurs most frequently in present-day North
and East African populations (18). The closely related
E1b1b1b (M-123) haplogroup has been reported for Epipaleolithic Natufians and Pre-Pottery Neolithic Levantines (“Levant_N”) (16).

We observe significant positive f4 values for all sub-Saharan African and significant negative values for all Eurasian populations, supporting
a substantial contribution from sub-Saharan Africa (Fig. 3B).
West Africans, such as Mende and Yoruba most strongly pull
out the sub-Saharan African ancestry in Taforalt (Fig. 3B and
figs. S15 and S16)

Consistently, using
qpGraph (21) we find that a mixture of Natufian and Yoruba
reasonably fits the Taforalt gene pool (|Z| ≤ 3.7; fig. S19 and
table S10). Adding gene flow from Paleolithic Europeans does
not improve the model fit and provides an ancestry contribution estimate of 0% (fig. S19). We thus find no evidence of
gene flow from Paleolithic Europeans into Taforalt within the
resolution of our data.
We further characterized the sub-Saharan African-related
ancestry in the Taforalt individuals using f4 statistics in the
form f4(Chimpanzee, African; Yoruba/Mende, Natufian). Although the oldest Iberomaurusian microlithic bladelet
technologies are found earlier in the Maghreb than their
equivalents in northeastern Africa (Cyrenaica) and the earliest Natufian in the Levant, the complex sub-Saharan ancestry
in Taforalt makes our individuals an unlikely proxy for the
ancestral population of later Natufians who do not harbor
sub-Saharan ancestry. An epicenter in the Maghreb is plausible only if the sub-Saharan African admixture into Taforalt
either post-dated the expansion into the Levant or was a locally confined phenomenon. Alternatively, placing the epicenter in Cyrenaica or the Levant requires an additional
explanation for the observed archaeological chronology.
_______________________________


I'm a little confused by this

Taforalt according to the above are
E1b1b1a1

Natufians
I0861: E1b1b1b2(x E1b1b1b2a, E1b1b1b2b)
I1069: E1b1(xE1b1a1, E1b1b1b1)
I1072: E1b1b1b2(xE1b1b1b2a, E1b1b1b2b)
I1685: CT
I1690: CT

https://dash.harvard.edu/bitstream/handle/1/31731830/5003663.pdf

Genomic insights into the origin of farming in the ancient Near East
Iosif Lazaridis, Dani Nadel, …David Reich
2016

A population without Neanderthal admixture, basal to other Eurasians, may have plausibly
lived in Africa. Craniometric analyses have suggested an affinity between the Natufians and
populations of north or sub-Saharan Africa24,25, a result that finds some support from Y
chromosome analysis which shows that the Natufians and successor Levantine Neolithic
populations carried haplogroup E, of likely ultimate African origin, which has not been
detected in other ancient males from West Eurasia (Supplementary Information, section
6) 7,8
However, no affinity of Natufians to sub-Saharan Africans
is evident in our genomewide analysis,
as present-day sub-Saharan Africans do not share more alleles with Natufians
than with other ancient Eurasians (Extended Data Table 1).


__________________________


I don't know if Sánchez agree with Lazaridis
but if he does, it seems that he's calling Taforalt's
E1b1b1a1 (M-78) > sub-Saharan
yet this similar Natufian clade
E1b1b1b2 is not sub-Saharan !!


E1b1b1b2(x E1b1b1b2a, E1b1b1b2b)
I1069: E1b1(xE1b1a1, E1b1b1b1)
I1072: E1b1b1b2(xE1b1b1b2a, E1b1b1b2b)

So the proposal is that the ancestors of Natufian
went into the the levant with sub-saharan DNA on their male side. Then after some time they de-sub-sahranized the E (the put a Levant spin on it)
Then some of these Natufians with their Eurasian U6 and de-subsharanized E went into Morocco

but then !!!.....

after they got to Taforalt
the E got re-sub-saharanized !!! [/QB]

LOL Yeah! They keep contradicting themselves simply because they keep running around the elephant in the room known as African genetic diversity. I remember reading in one of the North African papers I don't know if it's Loosdrecht, Fregel, or someone else that mentioned an ancient Sub-Saharan population that is not related to any living today (ghost population?). And Lazaridis admits that Basal Eurasians most likely originated in Sub-Sahara and even had Sub-Saharan cranial morphology and even carry Sub-Saharan parental clades but for some odd reason their autosomes are totally different from modern living Sub-Saharans.

This all goes back to Beyoku's arugment for the lack of African substructure in Admixture analysis, and this accounts for populations living today! How much more so during the Pleistocene?? We know that the skeletal record shows a reduction in morphological diversity among human populations and that archaeogenetics from pre-Holocene remains supports this loss of diversity.

This is why YRI (Yoruba of Ibadan) as exemplar for all Sub-Saharans prehistoric and present is flawed.

Posts: 26236 | From: Atlanta, Georgia, USA | Registered: Feb 2005  |  IP: Logged | Report this post to a Moderator
Djehuti
Member
Member # 6698

Rate Member
Icon 1 posted      Profile for Djehuti     Send New Private Message       Edit/Delete Post   Reply With Quote 
quote:
Originally posted by Tukuler:

If anything, I think this "ANA" corresponds some
kinda way or other with your Sudan K element most
frequent in Bataheen in your runs w/o actual ancient
North African data. Gotta check now and see if it's
in those runs too and how it looks there.

It's a down Nile veering both Sahra/S Med-coast and Arabian Plate/SE Med-coast thing, eh?

Well, according to revoiye's chart, ANA does seem to have its most significant correlation with Nilo-Saharan speakers. As for Arabian Plate, I take it you recall the epigraphic evidence of Nilo-Saharan once being spoken in Yemen.


quote:
EDIT
OK may be the Orange K highest in
England_Roman_MiddleEast SG? No
geography flow guesses for this
one though. It's there in Stuttgart.
In search of Heatwaves' Boogie Nights?

Does it tie into Behrens and Williamson's
Gharb Darfur region Tamazight lect origins?

Tamazight had moved up from the Gharb
Darfur region of Sudan where it originated
per Behrens and Williamson.

Then there's downstream U6 and E-?? coupling
that also arced northwest from NE Afr, maybe
start in Kenya. A late and small yet supporting
population flow.

You may recall the Stuttgart skull even shows 'Sub-Saharan' features like prognathism and PBD but as for the Berbers, I remember some more on that.

--------------------
Mahirap gisingin ang nagtutulog-tulugan.

Posts: 26236 | From: Atlanta, Georgia, USA | Registered: Feb 2005  |  IP: Logged | Report this post to a Moderator
Tukuler
multidisciplinary Black Scholar
Member # 19944

Icon 1 posted      Profile for Tukuler   Author's Homepage     Send New Private Message       Edit/Delete Post   Reply With Quote 
^ Hot sauce! So Tiggas was boogyin in Stuttgart and doo that far back, ah dang.

Check the Turqoise K, it's the one I mean.
Like you said, high today in Nilo-Saharans.
Crosses language families a little but then
I'm with that guy who said a zone of language
confluence makes for loose distinction between
certain "Greenberg families" across Sahel and
adjacent Sahra folks. Can't say he had Cushitic
in mind.

 -  -

--------------------
I'm just another point of view. What's yours? Unpublished work © 2004 - 2023 YYT al~Takruri
Authentic Africana over race-serving ethnocentricisms, Afro, Euro, or whatever.

Posts: 8179 | From: the Tekrur straddling Senegal & Mauritania | Registered: Dec 2011  |  IP: Logged | Report this post to a Moderator
the lioness,
Member
Member # 17353

Rate Member
Icon 1 posted      Profile for the lioness,     Send New Private Message       Edit/Delete Post   Reply With Quote 
revoiye blog

https://revoiye.com/the-breakdown-are-we-all-genetically-north-african/

data:
https://docs.google.com/spreadsheets/d/1vNT0p0e6aKLLmwu8kszcqYfG5dTD3JmN2v-_oF2P2EQ/edit#gid=471582203

The Breakdown: Are We All Genetically North African?
March 2021

calculating the ratio of ANA ancestry in select samples should be quite simple. Where we can just use:


Where α is ANA related ancestry, δ is shared drift with Eurasians and γ is various “basal” Ancestry. In the case of which our test population does not have ancestry that’ll form a clade with populations who have deep ancestry in relation, (represented by C, and O, in the figure) γ is ≤1. Being that ANA ancestry hadn’t been parsed or discovered in detail yet we need to make two key assumptions in order for this to method to be considered. One would be that Mota has no Eurasian ancestry and the other is that Taforalt has no ancestry more Basal than ANA1.That’ll mean any population with a γ assumed ≤1 would be a mixture of pure ANA and a Eurasian of some sort.

Another concern is the assumptions made regarding ANA ancestry and how ANA relates to deep African ancestry. The method I used earlier consistently assumed that ANA would be purely downstream from Mota, but it might not be so in reality. In some cases there seems to be an affinity towards Ancient South Africans by samples like Taforalt. For instance Dst(Taforalt, EE; WE, ASA) prints a more negative Z-score than Dst(Taforalt, EE; WE, Mbuti) despite Mbuti showing evidence of having North African related ancestry. (EE and WE being East and west Eurasian respectively.) So while we don’t know for sure the amplitude of which unknown archaic admixture in ASW/Mbuti differentiates them from other populations, we also don’t fully know the exclusivity of early ANA components in Northern Africa. An obvious limitation in parsing ANA ancestry is the inability to estimate ANA ancestry in Mbuti and Ballitobay samples due to the assumptions that lead them to be outgroups.

With more time I can hope to get better resolution and test more populations for various forms of African ancestry. Hopefully there would be a way to visualize Ancient Western Sudanic or “Ghost Human” ancestry using samples available. Also we can get a much better look at the genetic landscape with more available samples from Africa, particularly those who have Central Saharan or Sahelian ancestry. Populations from Chad, Niger, Southern Libya, and Mali would be a great start for tracking down some overlooked ancient components related to any which quadrant of African ancestry. Clarity on the substructure within West African related populations could be further understood as we seen when observing Sahelian populations recently.10⁠ I also hope to be able to disentangle substructure withing Bantu populations. With evidence showing waves of population movements involving Bantu speakers, it’ll be interesting to see if there were minute interpopulational differences among Bantu speakers by region or by Bantu derivative languages.

Posts: 42918 | From: , | Registered: Jan 2010  |  IP: Logged | Report this post to a Moderator
  This topic comprises 2 pages: 1  2   

Quick Reply
Message:

HTML is not enabled.
UBB Code™ is enabled.

Instant Graemlins
   


Post New Topic  New Poll  Post A Reply Close Topic   Feature Topic   Move Topic   Delete Topic next oldest topic   next newest topic
 - Printer-friendly view of this topic
Hop To:


Contact Us | EgyptSearch!

(c) 2015 EgyptSearch.com

Powered by UBB.classic™ 6.7.3